在创建DataFrame的时候常常使用reshape来更改数据的列数和行数。
reshape可以用于numpy库里的ndarray和array结构以及pandas库里面的DataFrame和Series结构。


reshape(行,列)可以根据指定的数值将数据转换为特定的行数和列数,这个好理解,就是转换成矩阵。
然而,在实际使用中,特别是在运用函数的时候,系统经常会提示是否需要对数据使用reshape(1,-1)或者reshape(-1,1)进行转换,那这两个转换是什么意思呢?难道还有-1行的数据? 来尝试一下:

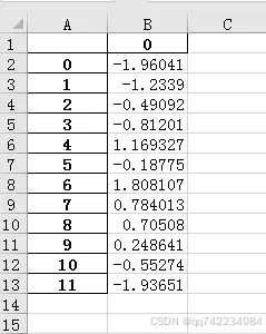
在使用了reshape(-1,1)之后,数据集似乎变成了一列,这样看起来不明显,把这些数据导出到excel看看:


在excel里直接变成了一列。
那么reshape(1,-1)呢?也就是直接变成了一行了。
那这个-1在这里要怎么理解呢? 跟进numpy库官网的介绍,这里的-1被理解为unspecified value,意思是未指定为给定的。如果只需要特定的行数,列数多少我无所谓,我只需要指定行数,那么列数直接用-1代替就行了,计算机帮我们算赢有多少列,反之亦然。 所以-1在这里应该可以理解为一个正整数通配符,它代替任何整数。 拿刚才的数据来试试看:
